占空比是在連續的脈沖信號頻率或周期不變的前提下定義的,用來衡量開關管導通或截止狀況,在這個前提下定義占空比為周期電信號中有電信號輸出的時間與整個信號周期之比:
D(占空比)=τ(電信號不為“0”的時間)/T(電信號為“0”的時間+電信號不為“0”的時間)*100%

例如:脈沖寬度1μs,信號周期4μs的脈沖序列占空比為0.25。
注:引申義——在周期型的現象中,某種現象發生后持續的時間與總時間的比。
在成語中有句話:「三天打魚,兩天曬網」,如果以五天為一個周期,“打漁”的占空比則為五分之三。
01占空比測量方法1
A、信號連接單片機定時器的捕獲端口(上升觸發)測量方波的周期T,并記錄最后一次上升沿的時刻值;
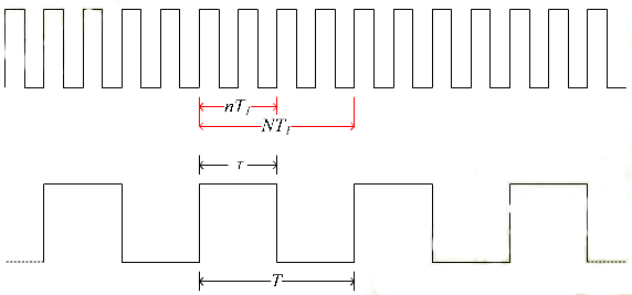
圖示:占空比測量方法等效變換示意圖
對于方法1我們可以等效的變換(等效變換方式如上圖所示)另外一種測量方法:
A、將被測信號進行100倍倍頻處理(T=100T1);
B、測量原信號高電平期間通過的倍頻信號的脈沖個數n;
C、將脈沖個數n除以100(n%)即為D(占空比)。

02占空比測量方法2
利用方波占空比與直流分量成正比的特點,將方波連接低通濾波器后經AD測量,AD測量結果除以方波的高電平對應值就是占空比。
圖示:PWM(脈沖寬度調制)
PWM(Pulse Width Modulation)控制即脈沖寬度調制技術,主要是通過對一系列脈沖的寬度進行調制,來等效地獲得所需要波形(含形狀和幅值)。這里面的脈沖寬度即在一個周期內輸出高電平的時間,假如說周期T=64uS,脈沖寬度D=32uS,則占空比=D/T=32/64=50%,脈沖寬度調整就是對占空比的調整。

占空比的作用是調整開關管的導通時間來調節高低電平所占的時間比率,占空比越大,電路開通時間就越長,整機性能就越高。
現代汽車的控制精度越來越高,特別是在電控系統中,常規的開關式執行器件已經不能滿足現代轎車的控制要求,比如EGR系統、怠速控制系統、燃油蒸發控制系統等。準確地說,占空比控制應該稱為電控脈寬調制技術,它是通過電子控制裝置對加在工作執行元件上一定頻率的電壓信號進行脈沖寬度的調制,以實現對所控制的執行元件工作狀態精確,連續的控制。近幾年上海通用別克轎車所采用的線性EGR系統實際上就是利用了這一技術從而實現了EGR閥的線性開關功能。那么為什么我們又將電控脈寬調制技術稱作占空比控制技術呢,事實上,占空比是對電控脈寬調制的引申說明,占空比實質上是指受控制的電路被接通的時間占整個電路工作周期的百分比。