鐵耗主要分為“磁滯損耗”和“渦流損耗”兩種。
磁通是在鐵芯上流動的,鐵芯對磁通具有磁阻,就像導體對電流又電阻一樣,也會產生熱量,這樣的損耗稱之為“磁滯損耗”。
鐵心本身也是導體,在垂直于磁力線的平面上就會感應電勢,這個電勢在鐵心的斷面上形成閉合回路并產生電流,好象一個旋渦稱為“渦流”。這個“渦流”使電機的損耗增加,并且使電機的鐵心發熱溫升增加。由“渦流”所產生的損耗我們稱為“渦流損耗”。
電機的鐵耗與鐵磁材料的鐵耗并不相同,影響的因數眾多。就拿交流異步電機來看,影響因素就有如下幾項:
電機內部的磁密分布本身并不是均勻的,比如在定子鐵心中齒部和軛部的磁密大小是不相同的。而電機內部局部磁密分布不均會導致局部磁滯損耗較大。
磁場磁化方式主要有兩種交變磁化和旋轉磁化。磁通密度在1.0~1.5T范圍內,相應的旋轉磁化磁滯損耗較之交變磁化磁滯損耗約大45`~65%。
非正弦供電主要的影響在于導致電機的磁場包含更多的諧波成分影響電機的運行。
當交變頻率較高時,尤其對于高速電機來說,其轉速每分鐘數萬轉,供電頻率可達到幾百甚至上千赫茲,此時必須要考慮集膚效應的影響。由于高頻時集膚效應會導致硅鋼片上的渦流分布不均。
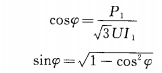
對三相異步電機鐵損計算來看,主要根據GB1032來進行空載試驗后分離出鐵耗。首先根據空載試驗數據做出空載特性曲線,空載特性曲線如下:

空載特性曲線
作Pfe對U0/Un的關系曲線,不同負載時鐵耗根據電壓Ub/Un在曲線上不同而不同。

式中

對于同一電機來說,鐵耗只與電壓相關,電壓的額定電壓鐵耗按Ub=Un確定。