峰值、平均值和有效值是表征交流電壓大小的三個基本參量,那什么是交流電壓的峰值、平均值和有效值?
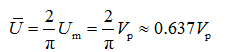
如圖1所示,峰值表示以零電平為參考的最大電壓幅值(用VP表示),以直流分量為參考的最大電壓幅值則稱為振幅(通常用Um表示)。對理想的正弦交流電壓
,由于VP=Um,故理想正弦交流電壓常用
表示。

圖1 根據交流電壓波形計算基本參量
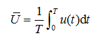
如圖1所示,交流電壓的平均值在數學上定義為

式中,T 為交流電壓的周期;
相當于交流電壓u(t)的直流分量。
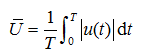
在交流電壓測量中,平均值通常指經過全波或半波整流后的波形(一般若無特指,均為全波整流)

對理想的正弦交流電壓
,若
,則

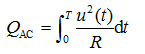
交流電壓u(t)在一個周期T 內,通過某純電阻負載R 所產生的熱量,與一個直流電壓V 在同一負載上產生的熱量相等時,則該直流電壓V 的數值就表示了交流電壓u(t)的有效值。下面給出有效值的具體定義。
直流電壓V 在T 內電阻R 上產生的熱量

交流電壓V 在T 內電阻R 上產生的熱量

由
得,

有效值在數學上即為均方根值,是表征交流電壓的重要參量。對理想的正弦交流電壓
,若
,則

上一篇:電壓測量有什么特點?
下一篇:傳統的模擬式電壓表有哪些種類?