有效值主要用于衡量交流電壓、交流電流的幅值大小,出發點是熱效應與直流電相同。有效值具體定義如下:
電壓有效值:在相同的電阻兩端分別施加直流電壓和交流電壓,經過一個交流電壓周期的時間,如果它們在電阻上所消耗的電能相等的話,則把該直流電壓的幅值作為交流電壓的有效值。
電流有效值:在相同的電阻中分別通過直流電流和交流電流,經過一個交流電流周期的時間,如果它們在電阻上所消耗的電能相等的話,則把該直流電流的幅值作為交流電流的有效值。
正弦電壓、電流有效值等于其最大值(幅值)的1/√2,約0.707倍。
對于非正弦周期電壓、電流信號,可以通過傅里葉變換的方式分解為直流分量、基波分量和各次諧波分量,其中,基波分量和諧波分量均為正弦信號。
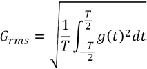
有效值的計算方式有兩種:
一有效值的時域計算公式
有效值等于其瞬時值在一個周期內的方均根值。

注:G和g可以表示電壓和電流。
二有效值的頻域計算公式
有效值等于直流分量、基波分量及所有諧波分量的有效值的方和根。

注:G可以表示電壓和電流,Gh表示電壓或電流的h次諧波,h=0時,為零次諧波,表示直流分量,h=1時,為一次諧波,表示基波。
三有效值的其他的定義
由于有效值在數值上等于瞬時值的方均根(Root mean square),也稱方均根值,通常采用符號rms表示。WP4000變頻功率分析儀中用Urms和Irms表示電壓有效值和電流有效值。
就定義角度看,有效值的“有效”有等效的意思。因為交流電的瞬時幅值是變化的,用有效值可以反映交流電對電阻負載的平均做功能力。
然而,有效值的方均根計算方式電路實現較為復雜。為了簡化電路,某些儀器儀表往往利用正弦波的峰值或整流平均值與有效值的換算關系,采用峰值檢波電路或均值檢波電路,先測量出峰值,再乘以對應的系數轉變為有效值。傳統的毫伏表、微安表、電壓表、電流表、萬用表等等大多采用這種方法。其中峰值轉變為有效值的系數為0.707,而整流平均值轉變為有效值的系數為1.1107。采用均值檢波法得到的有效值,也稱校準到有效值的整流平均值,簡稱校準平均值,在WP4000變頻功率分析儀中,采用Umean和Imean表示電壓校準平均值和電流校準平均值。
峰值檢波法或均值檢波法利用了正弦波的峰值、整流平均值與有效值的換算關系,因此,這類方法只適合正弦信號的有效值測量(詳見“均值檢波、峰值檢波及方均根檢波電路原理及區別”)。對于非正弦信號,測量得到的“有效值”不準確。為了區分這種有效值與嚴格依照有效值定義得到的有效值的區別,后者也稱為真有效值,采用Trms表示,其中,T是Ture的縮寫,意為“真正的”。
長期以來,人們已經習慣用有效值表示交流電量的幅值大小。然而,對于非正弦交流電而言,有時,有效值的意義不是很大,例如,富含諧波的SPWM電壓的有效值,同時包含了基波和諧波的影響。問題是,對于電機負載而言,真正有效的,主要是其中的基波分量,即:用基波分量的方均根值——基波有效值衡量SPWM電壓的幅值,具有更大的現實意義。
IEC60349-2規定電機端電壓為端電壓的基波有效值。
由于基波也稱為一次諧波(harmonic),WP4000變頻功率分析儀中用Uh01和Ih01表示基波電壓有效值和基波電流有效值。
為了區分有效值和基波有效值,有時也稱有效值為全波有效值或全有效值。
對于正弦波而言,基波有效值、有效值、真有效值、全波有效值及校準平均值在數值上全部相等,可不作區分。對于SPWM波而言,其校準平均值與基波有效值非常接近,在要求不高的場合中,可替代基波有效值。對于其它非正弦電量,上述幾個概念需要慎用!