我們知道WP4000變頻功率分析儀,通過儀器外殼背面485通信接口,搭配DM4022/DM4028頻率測試子站,以及合適的轉矩轉速傳感器,即可實現被試電機轉矩轉速的準確測量。然而,大多數WP4000變頻功率分析儀用戶,在使用這種方式測量轉矩轉速時,常常不知該如何設置儀器上轉矩和轉速的變比。本文詳細闡述了轉矩轉速變比的推算過程,希望對用戶正確使用WP4000變頻功率分析儀有所幫助。
轉矩轉速變比A和B與轉矩轉速傳感器的技術參數密切相關,因此在確認轉矩轉速變比的第一步就是根據使用的轉矩轉速傳感器型號確認如下技術參數:
● 零轉矩頻率輸出:F0 Hz
● 正向轉矩滿量程頻率輸出:FmaxHz
● 反向轉矩滿量程頻率輸出:FminHz
● 最大扭矩:Tn N.M
● 轉速輸出信號:m個脈沖/轉
● 傳感器信號輸出:方波信號、幅值為5V
根據DM4022/DM4028的技術參數可知,DM4022/DM4028只適應方波信號或直流脈動信號的頻率測量,若轉矩轉速傳感器輸出信號不是方波信號或直流脈動信號,則要考慮采用其他方式測量。
注:以上技術參數均是未知值,計算變比時請以實際使用的設備參數為準。
因為DM4022/DM4028頻率測試子站送給WP4000變頻功率分析儀的是兩路頻率數值,因此要得到相應的轉矩轉速值必需根據一定的計算公式進行換算,兩者計算公式如下:
![]()
1) 當被試電機轉速為0時,通常情況下,轉矩轉速傳感器轉速輸出信號為0(也就是說無脈沖信號輸出),由此可以得出:

從而得出:

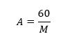
2) 假設電機當前轉速為N轉/分鐘,扭矩傳感器轉速輸出信號為M個脈沖/轉,由此可以得出扭矩傳感器輸出脈沖信號的頻率(即每秒輸出多少個脈沖):

從而得出:

最后得出:

1) 根據零扭矩頻率輸出參數可知:

從而得出:

2) 根據正向轉矩滿量程頻率輸出參數可知:

從而得出:

設備情況:HBM T40S4+DM4028+WP4000
HBM T40S4轉矩轉速傳感器具體參數:
● 零轉矩頻率輸出:60K Hz
● 正向轉矩滿量程頻率輸出:90K Hz
● 反向轉矩滿量程頻率輸出:30K Hz
● 最大扭矩:3000 N.M
● 轉速輸出信號:1024個脈沖/轉
● 傳感器信號輸出:方波信號、幅值為5V
根據這些已知信息以及上面轉矩轉速變比推算結果,WP4000變頻功率分析儀轉矩轉速變比應設置為:
● 轉矩變比:A=3000/30000=0.1 B=60000
● 轉速變比:A=60/1024=0.05859375 B=0
下一篇:交流電能表檢驗裝置誤差檢定