交流采樣是相對直流采樣而言,它是指對電流和電壓采集時,輸入至A/D轉換器的是與電力系統的一次電流和一次電壓同頻率、大小成比例的電信號。由于電力系統、發電廠或變電站等一次電流和電壓都是大電流或高電壓信號,不能直接送至A/D轉換器,所以必須將高電壓大電流的強電信號,經過電壓傳感器或電流傳感器,變換成A/D轉換器所能接受的電信號。
交流采樣技術的的理論基礎是采樣定理,即要求采樣頻率為被測信號頻譜中最高頻率的2倍以上。按一定的規律對被測量的瞬時值進行采樣,然后按一定的算法可求出被測量,國內外已提出許多交流采樣的算法。下面介紹交流采樣的一般算法:
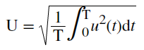
交流電壓有效值公式為:

離散化,以一個周期內有限個采樣電壓數字量代替一個周期內的連續變化的電壓函數值,則

式中:
△Tm——相鄰兩次采樣的時間間隔;
Um——第n-1個時間間隔的電壓采樣瞬時值;
N——一個周期內的采樣點數。
同理,采樣電流有效值計算公式

在交流采樣方式中,對于有功功率、無功功率和功率因數,是通過采樣所得到的u、i計算出來的。計算一相有功功率的離散化公式為:

式中:
im、um---同一時刻的電流、電壓采樣值。
功率因數可由下式求得:

1. 實時性好。它能避免直流采樣中整流、濾波環節的時間常數大的影響。
2. 能反映原來電流、電壓的實際波形,便于對所測量的結果進行波形分析。因此在需要諧波分析或故障錄波的場合,必須采用交流采樣。
3. 有功功率和無功功率是通過采樣得到的u、i計算出來的,因此可以省去有功功率和無功功率變送器,可以節約投資并縮小測量設備的體積。
4. 對A/D轉換器的轉換速率和采樣保持器要求較高。為了保證測量的精度,一個周期內,必須保證有足夠的采樣點數,因此要求A/D轉換器要有足夠的轉換速度。
5. 測量準確性不僅取決于模擬量輸入通道的硬件,而且還取決于軟件算法,因此采樣和計算程序相對復雜。