測量誤差的基本理論
- 瀏覽次數:8820次
- 發布時間:2014/1/22 17:11:01
- 作者:hb_yinhe
測量是為了確定被測量對象的量值而進行的實驗過程。一個量的真實大小稱為真值。真值是個理想值,實際測量過程中由于儀器、方法等局限,測量結果往往會和真值存在一定的差異,這種差異稱為測量誤差。一般情況下,將比當前測量系統還高一級的標準儀器所測量的結果A作為真值。
一、測量誤差的表示方法分類
按照表示方法,測量誤差通常可以分為絕對誤差和相對誤差兩種。
1、絕對誤差
被測量值x與其真值A之差。
2、相對誤差
為了彌補絕對誤差不能表示測量精度的不足而引入的概念。相對誤差有又分為實際相對誤差、示值相對誤差、引用相對誤差等。其定義如下
實際相對誤差:
示值相對誤差:

引用相對誤差:

一般來說,常用的電工儀表分為0.1、0.2、0.5、1.0、1.5、2.5及5.0七級,這類以表示按照rm值來進行分級的。所以給出的是絕對誤差的大小。如果某儀器的等級是s級,其滿刻度是xm,則測量的絕對誤差的上限值為:
而此時相應的示值相對誤差的上限值為:
由上式可知,當x越接近xm則 的上限值越小,測量越準確。因此一般應該使得被測量值盡可能的在滿量程的三分之二以上。
按照其性質,測量誤差可以分為系統誤差、隨機誤差、粗大誤差三種
1、系統誤差
在相同條件下多次測量同一量時,誤差的絕對值和符號保持不變。或在條件改變時,按照一定的規律變化的誤差稱為系統誤差。它的特點是測量條件一旦成立,系統誤差就是一個客觀恒定的值,多次測量取平均值并不能改變其大小。
2、隨機誤差
在相同條件下多次測量同一量是,誤差的絕對值和符號以不可預定的方式變化的誤差。它的特點是在多次測量中絕對誤差的波動有一定的界限,即具有有界性;絕對值相等的正負誤差出現的機會相等,即具有對稱性。當測量次數足夠多的情況下,隨機誤差平均值趨向于零,即具有抵償性。
3、粗大誤差
在一定的測量條件下,測量值明顯偏離實際值形成的誤差。它歪曲了測量結果,應該在數據分析過程中剔除。
二、測量誤差的合成與分配
實際測量中,誤差來源于多方面,如測量功率時,需要同時測量電壓和電流,然后通過計算得到功率,這樣計算出來的功率誤差就與電壓和電流的測量誤差相關。如果某一誤差與若干分項有關,該項誤差稱為總誤差,各分項稱為分項誤差。往往需要從以下幾個方面考慮總誤差和分項誤差的關系。
(1) 如何根據各個分項誤差來決定總誤差,即所謂誤差合成的問題。
(2) 當總的誤差被確定后,如何來去頂各個分項誤差,即誤差分配的問題。
(3) 研究使總誤差為最小值的最佳測量方案。
1、 測量誤差的合成
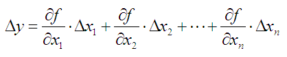
設間接測量中某個量y與n個直接測量x1,x2…,xn之間的函數關系為
則有絕對誤差表示為(適合函數關系為合差關系):
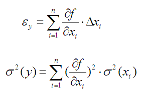
則相對誤差表示為(適合函數關系為積、商、乘方、開方等):
誤差的主要組成部分:系統誤差和隨機誤差也遵循以下形式。
2、測量誤差的分配
在給定總誤差的前提下,如何來確定各個分項誤差的,這類問題在制定測量方案和選購計量儀器時經常會遇到。通常采用兩種分配原則:
等準確度原則
分配給各個分項的系統誤差和隨機誤差相等,可分配給各分項的系統誤差和隨機誤差分別為:
等精度原則適用于各個分項性質相同(量綱相同),大小相近的情況。
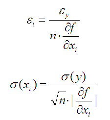
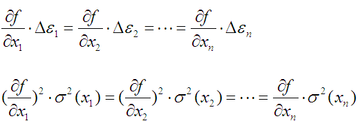
等作用原則
即各分項對測量誤差的總的作用是相同的,但給分配的誤差在數值上是不相同即:
則有:
三、最佳測量方案的選擇
所謂最佳測量方案即:使得總合成誤差為最小的測試方案,既要做到:

一般來說,是在了解各分項誤差在客觀條件下的可能達到的最小值的基礎上,比較各種可能方案,找出總的合成誤差最小的方案。