在科學研究和工程實踐中,經常需要對微小電阻進行測量,如馬達的線圈電阻,繼電器、開關等的接觸電阻,超大功率發射機的接地電阻,飛機機體的電阻,開關柜中銅排的直流與交流電阻測量等。1Ω以上的電阻測量通常采用萬用表就能較為準確地測量出來,但是對于微小電阻來說,接觸電阻和導線電阻的阻值是無法忽視的,它們將會對微小電阻的阻值測量造成嚴重的影響,進而會導致微小電阻測量結果的較大誤差,所以微小電阻的測量一直是個較大的難題。這些電阻由于阻值太小,導致檢測到的信號十分微弱,而且還經常淹沒在噪聲之中,常規的測量方式很難測量出微小電阻的阻值。根據目前國內外對微小電阻的研究,比較成熟的微電阻測量方法主要有三種:大脈沖電流測量微電阻、直流恒流源測量微電阻和恒頻交流電流源測量微電阻,其中基于恒頻交流電流源的測量方法又可分為伏安法和相關法。功率分析儀可通過傅里葉分析提取導體兩端的基波電壓U、流過導體的電流基波I以及兩者之間的相位差φ,故可通過下式來計算出導體的交流電阻RAC。

本文主要基于功率分析儀,利用式(1)對導體的微弱交流電阻測量技術進行研究。構建基于功率分析儀的微電阻測量系統,給出典型銅排的交流電阻測量結果以及某工業現場開關柜的交流電阻測量結果。
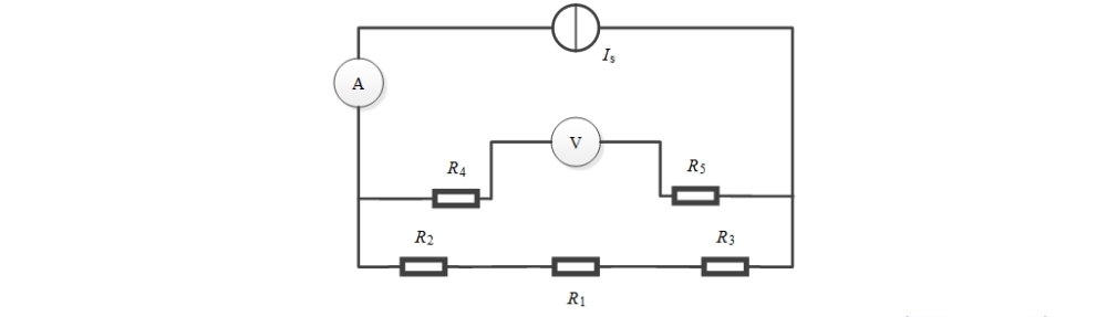
在微小電阻的測量中,由于其導線阻值和導體的阻值數量級上很接近,所以需要考慮到導線的電阻,在測量電路導線選材上,在測量中盡可能選擇如鍍銀線這類導電率高的粗導線,以盡量消除導線電阻對測量的影響。雙端測量等效電路如圖1所示。

圖1 雙端測量等效電路
圖1中,R1表示待測電阻;R2,R3表示接觸電阻;R4、R5表示電壓測量回路電阻。實際測到的回路電阻中包含待測電阻R1,接觸電阻R2和R3,以及測量線電阻R4和R5,由于電壓表內阻非常大,遠大于待測電阻,在選取合適的測試線后將其等效于一個整體進行校準計量,所以其流過該電壓測量回路的電流遠小于R1的上面流過的電流,可以忽略不計,所以雙端測量的電阻計算為(直流情況下):

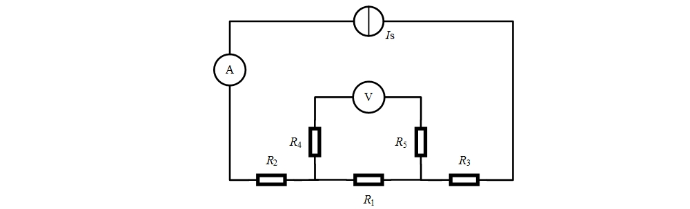
由式(2)可知,采用雙線測量的方式測量到的電阻包含該測量回路的接觸電阻R2、R3,尤其是實際測量時,電流回路可能是使用螺栓、鱷魚夾之類機械緊固件進行壓接,加上接觸面存在氧化等不干凈程度導致其接觸電阻較大,所以這種方式在測量微小電阻的情況下存在較大的誤差。既然誤差的來源為回路的接觸電阻,首先需要將電壓測量回路接到整體電流的機械安裝接觸點內,然后可以通過改變電壓測量回路的測量取樣點位置來盡量減少該測量誤差:當測量點逐步靠近待測電阻時,測量的誤差將逐步減少。此方法稱為四端測量法,四端測量法如圖2所示。

圖2 四端測量等效電路
在四端測量中是將電壓測量回路的取樣點選取在盡量靠近待測電阻的位置進行電壓取樣。從而盡可能的減少導線及接觸部分對電阻測量的影響,待測電阻阻值計算為(直流條件下):

以測量銅排為例,實際應用環境為微小電壓和大電流的高精度同步測量,由于小信號易受工業現場的環境影響,所以考慮減少模擬量傳輸線路來保證測量精度。因此儀器選用湖南銀河電氣研制的WP4000變頻功率分析儀及SP系列變頻功率傳感器組合搭建測試系統。分別對被測電阻為銅排的進行單相和三相測試,單相接線框圖如圖3所示,三相接線框圖如圖4所示。

圖3 單相電路銅排交流電阻測量接線框圖

圖4 三相電路銅排交流電阻測量接線框圖
圖3和圖4左邊為WP4000變頻功率分析儀,中間為SP系列變頻功率傳感器,兩者通過光纖連接。實際測試時,可根據被測電壓和電流的大小選擇合適的一款SP變頻功率傳感器。鑒于一般功率分析儀僅針對自身進行標定,在搭配使用各類前端傳感器時未對傳感器、傳輸線路進行系統的標定,從而引入了更多的不確定度,而該套系統由于其前端數字化和光纖傳輸型式的技術特點,可進行整體測試系統的校準和計量,進一步提升測量的可信度。
基于上述測量系統,接入一個頻率為50Hz的交流信號,測量該典型銅排在不同電流幅值下的電阻,測試結果如表1所示,不同電流幅值下的交流電阻變化如圖5所示。
表1 該典型銅排在不同電流幅值下的交流電阻測試結果
| 序號 | 電流/A | 電壓/mV | 相位差/° | 電阻/μΩ | 電感/μH | 有功功率/W |
| 1 | 50.50 | 34.11 | 85.33 | 55.00 | 2.14 | 0.14 |
| 2 | 100.13 | 67.85 | 85.28 | 55.75 | 2.15 | 0.56 |
| 3 | 150.72 | 102.33 | 85.14 | 57.51 | 2.15 | 1.31 |

圖5 不同電流幅值下的交流電阻和電感變化
(a)交流電阻變化;(b)電感變化
從表1和圖5可以看出,隨著測試電流的增加:
(1)銅排的交流電阻RAC在增加;
(2)銅排的損耗(有功功率)P在增加;
(3)銅排的電感在緩慢增加,增加的速度小于交流電阻增加的速度,故相位差減小。
(1)開關柜中單相交流電阻的測試結果
將上述測量系統接在實際工業現場,對某開關柜進行實際測量,將設備接入到該開關柜的A相中,測量結果如表2所示,不同電流幅值下的交流電阻變化如圖6所示。
表2 某開關柜單相測試結果
| 序號 | 電流/A | 電壓/mV | 相位差/° | 電阻/μΩ | 電感/μH | 有功功率/W |
| 1 | 98.22 | 99.04 | 56.14 | 561.82 | 2.66 | 5.42 |
| 2 | 193.91 | 200.18 | 55.61 | 583.04 | 2.71 | 21.92 |
| 3 | 597.60 | 627.88 | 55.51 | 594.97 | 2.76 | 212.48 |

圖6 不同電流幅值下的交流電阻和電感變化
(a)交流電阻變化;(b)電感變化
從表2和圖6可以看出,開關柜中單相測試與上節中使用某典型銅排測試結果基本一致,隨著測試電流的增加:
(1)開關柜單相交流電阻RAC在增加;
(2)銅排的損耗(有功功率)P在增加;
(3)銅排的電感在緩慢增加,增加的速度小于交流電阻增加的速度,故相位差減小。