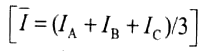
繼電保護測試儀三相電源輸出相位控制校準是一個重要的檢測項目,三相電源輸出對稱性及相位輸出對繼電保護設備檢測的準確性有種要影響。下面本文主要根據繼電保護測試儀檢定規范介紹其三相電源對稱性及移相相位輸出校準。
電流源各相之間、電壓源各相之間、電流源與電壓源各相之間的相位控制范圍及準確度應滿足本標準相關要求,移相范圍為0°~360°,最小可調步長為0.1°,分辨力為0.1。基準工作條件下,允許偏差不大于±0.2°。
繼電保護測試儀應能輸出三相平穩電源,且滿足以下要求:
a) 三相電源中各相電壓或線電壓應大小相等,其相電壓間或線電壓間的差異應不大于其電壓平均值的0.5%;
b) 三相平衡電源中相電流應大小相等,其相電流間或線電流間的差異應不大于其電流平均值的0.5%;
c) 三相平衡電源中相電壓與該相電流間夾角應大小相等,其間的差值應不超過0.5°。
設定被檢繼電保護測試儀輸出的量為對稱三相交流電壓和三相交流電流,設定三相電壓和電流間的相位角為固定的相角差,輸出的電壓和電流的頻率為50Hz。
采用用交流電壓表測量三相電壓的電壓值UA、UB、UC,用交流電流表測量三相電流的電流值IA、IB、IC,用相位表測量A相電壓與A相電流間的相位角φA,B相電壓與B相電流間的相位角φB、C相電壓與C相電流間的相位角φC。
計算三相電壓的電壓平均值:
![]()
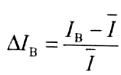
計算三相電流的電流平均值:

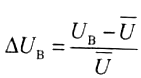
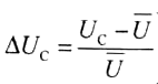
確定每一相電壓與三相電壓的電壓平均值的差異:
、
、
確定每一相電流與三相電流的平均值的差異:
、
、
再者確定各相電壓與電流間相位的差異,對比三相電源對稱性幅值誤差及相位差異指標。
繼電保護測試儀輸出相電壓之間、輸出相電壓和相電流相位的校準接線示意圖如圖1所示。

圖1示:相位校準接線示意圖
輸出電壓之間的相位以A相電壓為基準,改變其他相電壓的相位。
輸出相電壓和相電流相位的測量,設定A相電壓為100V,A相電流為5A,改變輸出相位,用相位表測量輸出相位。相位校準點可選取以下幾點:0°、30°、60°、90°、180°、270°。
按要求連接相位校準標準,設定上述校準點進行移相相位誤差的測量。
絕對誤差表示為:

式中:
△——被校繼電保護測試儀輸出值絕對誤差;
——被校繼電保護測試儀相位輸出值;
——校準標準顯示值。
上一篇:測試系統的構成及其原理