電子式交流電能表是指用電子器件組成測量電路的交流電能表,一般適用于頻率50Hz或60Hz單相、三相電路電能測量,其電流和電壓作用于固態(電子)元件上,在一定時間內與產生的電能成正比。因為它不同于機電式(感應式)交流電能表具有轉動元件,所以又稱為靜止式交流電能表。電子式單相電能表的原理框圖如下圖1所示。下面本文根據電子式交流電能表檢定規程對其誤差檢定內容進行詳細介紹。

圖1:電子式單相電能表的原理結構圖
Tips:對于三相電子式電能表,各項電壓、電流采樣電路及其乘法器與電子式單相電能表相同,但在P/F變換器前需加求和電路,將各相乘法器輸出信號相加后送到分頻器變頻。
在額定工作條件下,有功和無功電能表的基本誤差限值應當滿足下表1、表2規定的限值要求;如果電能表應用于測量雙向電能,則表1和表2的規定適用于每一方向上的電能測量。

表1:單相電能表和平衡負載時三相電能表的基本誤差限值

表2:不平衡負載時三相電能表的基本誤差限值
電子式交流電能表應當在不同的功率點進行誤差檢定,根據檢定規程要求在額定頻率和電壓下一般按照下表3、4規定的調定負載點。在不同功率因數下,按負載電流逐次減小的順序測量基本誤差。如有特殊要求,可以視情況增加檢定負載點。
表3:檢定單相電能表和平衡負載下的三相電能表時應調定的負載點

表4:不平衡負載時三相電能表分組檢定時應調定的負載點
用標準表法檢定電能表要求標準電能表與被檢電能表都在連續工作情況下,用被檢電能表輸出的脈沖(低頻或高頻)控制標準電能表計數來確定被檢電能表的相對誤差。
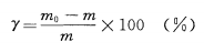
被檢電能表的相對誤差γ式1計算:
……1
式中:
m——實測脈沖數;
m0——算定(或預置)的脈沖數,按式2計算。
……2
式中:
N——被檢電能表低頻或高頻脈沖數;
C0——標準表的(脈沖)儀表常數,imp/kWh;
CL——被檢電能表的(脈沖)儀表常數,imp/kWh;
KI,KU——標準表外接的電流、電壓互感器變比。當沒有外接電流、電壓互感器時,KI和KU都等于1。
對銘牌上標有電流互感器變比KL和/和電壓互感器變比KY經互感器接入式的電能表,算定脈沖數m0按下式計算:

進行檢定時應當適當地選擇被檢電能表的低頻(或高頻)脈沖數N和標準表外接的互感器量程或標準表的倍率開關檔,使算定(或預置)脈沖數和實測脈沖數滿足表5的規定,同時每次測試時限不少于5s。

表5:算定(或預置)脈沖數、功率表或功率源顯示位數和顯示被檢電能表誤差的小數位數
采用瓦秒法對電子式交流電能表進行檢定操作時,采用標準功率表測定調定的恒定功率,或用標準功率源確定功率,同時用標準測時器測量電能表在恒定功率下輸出若干脈沖所需時間,該時間與恒定功率的乘積所得實際電能,與電能測定的電能相比較來確定電能表的相對誤差。
相對誤差按下式計算:

式中:
m——實測脈沖數,即電能表有誤差時在Tn(s)內顯示的脈沖數;
m0——算定(或預置)脈沖數,按下式計算:

其中:
Tn——選定的測量時間,s;
P——調定的恒定功率值,W。
當采用自動方法控制標準測時器,被檢電能表連續運行,測定時間不少于10s;若用手動方法控制標準測時器,被檢電能表連續轉動,測量時間不少于50s。若標準功率表或標準功率源所發動功率脈沖序列不夠均勻或其相應速度較慢,還需適當增加測量時間以保證測試精度。
上一篇:交流電能表檢驗裝置誤差檢定
下一篇:關于變頻功率傳感器的安裝注意事項