同步電機,和感應電機一樣是一種常用的交流電機。同步電機的效率測量非常重要,只有準確的測量出電機的效率,了解電機的性能特性曲線,才能找到有效的提高同步電機效率的方法。
同步電機是一種常用的感應式交流電機,其效率的測量包括直接測定法、間接測定法、量熱法以及自減速試驗法,最常用的是直接測定法和間接測定法。
試驗時,測量被試電機的輸出功率和輸入功率以確定效率。直接測量法包括制動法、校準電機法和對拖法。
當被試電機作電動機運行時,與制動器或測功機聯接,用制動器或測功機測量被試電機的轉矩,同時測定其轉速,以確定電機輸出功率,輸入功率用功率分析儀或者其他電氣儀表測量。
當被試電機作發電機運行時,用測功機拖動被試機,并用測功機測量被試電機的輸入功率,用功率分析儀或者其他電氣儀表測量。
由于電機轉速直接影響功率的計算,因此轉速的測量要求非常精確。
被試電機與校準過的電機機械耦合,用校準電機測量被試電機的輸入或輸出功率,用功率分析儀或者其他電氣儀表測量被試電機的輸入或輸出功率。
把兩臺相同的電機機械耦合,一臺作電動機運行,另一臺作發電機運行。用功率分析儀或者其他電氣儀表測量電動機的輸入功率和發電機的輸出功率,當兩臺電機的運行工況基本相同時,可假設損耗是平均分擔的,則電動機的輸出功率為輸入功率與總損耗一半的差,而發電機的輸入功率與總損耗一半的和。
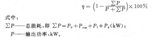
同步電機效率測量間接測量法對試驗測量設備提出了較高的要求。間接測量法就是損耗分析法,需要分別測定或計算同步電機的各項損耗,包括恒定損耗P0、負載損耗Pcue、勵磁損耗Pf、雜散損耗Pd。
同步電機效率計算公式:

直接測量法和損耗分析法是最常見的同步電機效率測量方法,當兩者均不能使用時,可以采用熱量法來測量同步電機的效率。
可以通過空載電動機法和空載發電機法來確定恒定損耗,再同步電機的空載特性曲線分離出機械耗和鐵耗,可以額定電流運行下的電流測量值計算電樞繞組損耗、勵磁損耗、電刷電損耗等。具體方法參考:GB/T 1029-2005三相同步電機試驗方法的5.3。
自減速試驗主要適用于轉動慣量較大以及其他方法測定各項損耗有困難的電機。
試驗時被試電機接到頻率可調的電源上,也可由其他動力機拖動并由獨立的直流電源供電他勵。先將被試電機加速,使其轉速稍高于額定轉速,然后切斷電源,使電機自減速。量取從最高轉速到設定轉速(隱極機量為95%額定轉速、凸極機量為90%額定轉速)之間的時間,上下兩個速度點之間的時間測量準確度要求達到2%以內。在自減速過程中量取電樞電流和勵磁電流,然后根據測量得到的數據計算機械損耗,恒定損耗,負載損耗、雜散損耗等。
【原文:http://9779666.com/NewsDetail-1878.aspx,轉載務必帶鏈接注明出處,未注明必追究責任!】
上一篇:電動汽車電機冷態直流電阻測試