根據電磁定律,當磁場變化時,附近的導體會產生感應電動勢,其方向符合法拉第定律和楞次定律,與原先加在線圈兩端的電壓正好相反,這個電壓就是反電動勢。在永磁同步伺服電機中,只要電機在轉動,必然會有線圈切割磁力線,所以會有反電動勢產生。反電動勢用E1表示,其有效值的計算如下式:

其中:
KE——為比例常數;
FN——為定子電流的頻率;
NL——為每相定子繞組的匝數;
ф——為主磁通的振幅值。
◆ 轉子角速度
◆ 轉子磁體產生的磁場
◆ 定子繞組的匝數
當電機設計完畢,轉子磁場與定子繞組的匝數都是確定的,因此唯一決定反電動勢的因數是轉子角速度,或者說是轉子轉速,隨著轉子速度的增加,反電動勢也隨之增加。
根據永磁交流伺服電動機通用技術條件描述,我們一般采用反電動勢常數來對永磁同步電機進行考核。反電勢常數是永磁同步電機一項很重要的技術指標參數,它關系到電機運行性能及控制器的設計工作。因此,在永磁同步伺服電機生產中必須對該項參數進行精確測試,通過標準的檢測方法驗證設計產品是否滿足技術要求。
GB/T 50349 永磁交流伺服電動機通用技術條件中規定先將被試電機拖動至技術條件規定的某一轉速n,再用示波器觀測其波形,通過電壓及轉速計算得出反電動勢常數(Ke),并且要求Ke符合永磁同步伺服電機技術條件規定。

圖示1:反電動勢測試平臺
如上圖所示為永磁同步伺服電機反電動勢測試平臺,按照試驗標準要求陪試電機做電動運行,拖動被試電機空載運行轉速至n;由轉速傳感器完成轉速測試,WP4000變頻功率分析儀完成被試電機線反電動勢U測試。
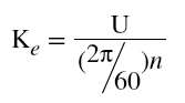
試驗時測取電機空載轉速為n時的線反電動勢U,用下式計算反電動勢常數,以驗證是否滿足技術要求限制范圍。

式中:
Ke——反電動勢常數,單位為伏特每弧度負一次方秒(V/rad*-1^s);
U——電機線反電動勢,單位為伏特(V),正弦波驅動電機用線反電動勢有效值,方波驅動電機用線反電動勢幅值;
N——被測點轉速,單位為轉每分(r/min)。
本方案選用WP4000變頻功率分析儀完成反電動勢及轉速測試,采取有效的同步手段保證電參量及非點參量的同步測試。同時,WP4000變頻功率分析儀開放原始數據端口,前端采集原始波形數據可以通過以太網直接與上位機共享,可以完全取代示波器的需求。通過自定義分析軟件可以直接完成反電動勢常數測試,滿足于伺服電機試驗系統自動化測試需求。
【原文:http://9779666.com/NewsDetail-1868.aspx,轉載務必帶鏈接注明出處,未注明必追究責任!】